Soyacerebroside I标准品

发布时间:2021-10-29

订购须知:

客户订购时需留下详细的寄送信息;收到货以后,请先验货,看包装有无破损,如有破损请不要签收,并及时反馈给我们,我们会重新发货;实验的过程中,请严格按照说明书进行操作,如遇技术问题可与我司技术部咨询。

中文名称

英文名称

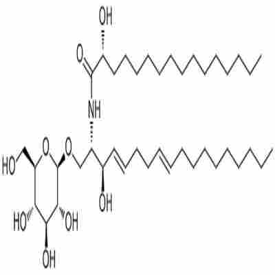
Soyacerebroside I标准品

CAS号

114297-20-0

产品名称:Soyacerebroside I
CAS No.: 114297-20-0

中文名:

别名:

分子式: C40H75NO9
Soyacerebroside I标准品

性状: Powder

纯度: 95.0%

特色服务: 随货提供1H-NMR等报告

关键词: 抗溃疡;番杏;大豆;大蒜;中药对照品;中药标准品;植物提取物;天然产物;天然产物库
特点:是一种敏感性高,特异性强,重复性好的实验诊断方法,由于其试剂稳定、易保存,操作简便,结果判断较客观等因素,已广泛应用在免疫学检验的各领域中。

检测方式:相色谱法HPLC≥98%。

贮存条件:4℃冷藏、密封、避光。

包装:可根据客户需求提供相应批量包装。

用途:用于含量测定、鉴别、药理实验、活性筛选等。

对照品实验方法与判定:

1.对照品溶液的稳定性

2.对照品溶液的配制:精密量取脑对照品适量,加无水乙醇制成每1ml含脑1mg的溶液,作为对照品溶液。

3.色谱条件:以交联键合聚为固定相的毛细管柱;柱温120℃;进样口温度250℃;检测器温度250℃;分流进样,分流比10:1。理论塔板数按脑计算应不低于10000。

4.实验方法:配制的对照品溶液,一份置冷处保存,一份置室温中保存,在第1、3、7、10、15天重新配制一份对照品溶液,三种储备液同时稀释制成每1ml中约含50ug的溶液。照气相色谱法,并依据新对照品的峰面积计算原对照品溶液的含量。记录下来,保证原对照品溶液含量在考察期相对平均偏差不过2.0%,验证对照品溶液在使用期内稳定可靠。

标准溶液的制备:

1、浊度计中使用技术局颁布的Formazine标准物质,如GBW12001 400度(NTU、FTU)浊度(Formazine)标准物质,定值不确定度±3%,有效使用期限1年。

不同浊度值的Formazine标准溶液,是用零浊度水和经合格的容量器具,按比例准确稀释Formazine浊度标准物质而获得。

400NTU以上的Formazine标准物质需存放在电冰箱的冷藏室内(4-8℃)低温避光保存,已稀至低浊度值的标准溶液不稳定,不宜保存,应随用随配。

2、当难于获得Formazine标准物质时,可按“ISO7027”所规定的方法配制,严格控制条件和试剂用量,如下:

2.1 仪器和试剂

分析天平:载荷200g、感量0.1mg合格。

容量瓶:100ml、一等,合格。

移液管:5ml、一等,合格。

硫酸肼(N2H6SO4):分析纯,纯度应大于99%。

六次甲基四胺(C6H12N4):分析纯,纯度应大于99%。

恒温箱(或水浴箱):容积能容下200ml容量瓶,恒温25±1℃,能连续运行24h以上。

零浊度水:见附录1。

2.2 制备方法:

准确称取1.000g硫酸肼,溶于零浊度水。溶液转入100ml容量瓶中,稀释至刻度,摇匀、过滤后备用(用0.2um孔径的微孔滤膜过滤,下同)。

准确称取10.00g六次甲基四胺,溶于零浊度水,并转入100ml容量瓶中,稀至刻度,摇匀、过滤后备用。

a、400NTU Formazine标准溶液制备:准确移取上述两种溶液各5.00ml,倒入100ml容量瓶中摇匀。该容量瓶放置在25±1℃的恒温箱或恒温水浴中,避光静置24小时后,加入零浊度水稀释至刻度,摇匀后即制成400NTU标准液。

b、4000NTU Formazine标准溶液制备:准确移取上述两种溶液各100ml,倒入200ml容量瓶中摇匀,该容量瓶放置在25±℃的恒温箱或恒温水浴中,避光静置24小时即制成4000NTU标准液。

为了增加配制值的可靠性,可考虑配制多组、多瓶Formazine标准溶液,以验证配制的一致性,同时要观测Formazine标准溶液浊度值的变化。只有在证明其稳定性良好,在使用期间内量值的变化不过配制值的±3%方可使用。配制好的溶液应在4~8℃的低温避光环境下储存。

Anti-TFF1 Antibody检验物种: human,mouse,rat应用范围: WB,IHC-P分子量: 12KD

免疫原: E. coli-derived mouse Tff1 recombinant protein (Position: Q22-F87). Mouse Tff1 shares 67.2% and 83.6% amino acid (aa) sequence identity with human and rat Tff1, respectively.内容: 500ug/ml antibody with PBS ,0.02% NaN3 , 1mg BSA

Anti-TFF1 Antibody检验物种: mouse应用范围: ELISA(Cap)免疫原: E. coli-derived mouse Tff1 recombinant protein (Position: Q22-F87). Mouse Tff1 shares 67.2% and 83.6% amino acid (aa) sequence identity with human and rat Tff1, respectively.内容: 500ug/ml antibody with PBS ,0.02% NaN3 , 1mg BSA纯化方式: Immunogen affinity purified.

Anti-TFF1 Antibody检验物种: mouse应用范围: ELISA(Det)免疫原: E. coli-derived mouse Tff1 recombinant protein (Position: Q22-F87). Mouse Tff1 shares 67.2% and 83.6% amino acid (aa) sequence identity with human and rat Tff1, respectively.内容: 500ug/ml antibody with PBS ,0.02% NaN3 , 1mg BSA纯化方式: Immunogen affinity purified.

Anti-TFF2 Antibody检验物种: mouse,rat应用范围: WB,IHC-P,DirectELISA分子量: 14KD

免疫原: E. coli-derived mouse TFF2 recombinant protein (Position: E24-Y129).内容: 500ug/ml antibody with PBS ,0.02% NaN3 , 1mg BSA

Anti-TFF2 Antibody检验物种: mouse,rat应用范围: WB,IHC-P,DirectELISA分子量: 14KD

免疫原: E. coli-derived rat TFF2 recombinant protein (Position: E24-Y129).内容: 500ug/ml antibody with PBS ,0.02% NaN3 , 1mg BSA

Anti-TFF3 Antibody检验物种: mouse,rat应用范围: WB,IHC-P,DirectELISA分子量: 9KD

免疫原: E. coli-derived rat TFF3 recombinant protein (Position: Q23-F81).内容: 500ug/ml antibody with PBS ,0.02% NaN3 , 1mg BSA

Anti-TFF3 Antibody检验物种: human,mouse,rat,rabbit应用范围: IHC-P免疫原: E. coli-derived rat TFF3 recombinant protein (Position: Q23-F81).内容: 500ug/ml antibody with PBS ,0.02% NaN3 , 1mg BSA纯化方式: Immunogen affinity purified.

Anti-TFPI Antibody检验物种: human应用范围: WB分子量: 35KD

免疫原: E.coli-derived human TFPI recombinant protein (Position: N253-M304). Human TFPI shares 51.1% and 53.2% amino acid (aa) sequence identity with mouse and rat TFPI, respectively.内容: 500ug/ml antibody with PBS ,0.02% NaN3 , 1mg BSA
Soyacerebroside I标准品5-腺苷二磷酸二钠盐,25g 进口/原装Human MUC3(Mucin 3) ELISA Kit植物染色质免疫沉淀分析(CHIP)完全试剂盒(包括抗体)

5-腺苷二磷酸二钠盐,5g 进口/原装Human MUC6(Mucin 6) ELISA Kit通用型CHIP DNA分子克隆试剂盒

5-腺苷三磷酸二钠盐,100g 进口/原装Human N-MID-OT(N-MID Osteocalcin) ELISA Kit通用型CHIP DNA分子库构建试剂盒

5-腺苷三磷酸二钠盐,1g 进口/原装Human N
公司销售标准品,还同时销售CP(中检所产品代理商)英国*实验室LGC 医药杂质标准品、 加拿大TRC标准品 、EP(欧洲药典) 、USP(美国药典)、BP(英国药典) 、(WHO)世界卫生组织药物标准品 、NIST 、 美国Accustandard标准品,美国ChemService标准品等各种产品。Soyacerebroside I标准品种类齐全,到货迅速。更多详细信息欢迎您来电咨询!

上一篇:石狮矿用防水板集团 全新价格
下一篇:欢迎来访//徐州脱硫石膏粉价格-...