游乐场安全地垫en1177冲击性能测试仪hs2005

发布时间:2018-06-19

 

  游乐场安全地垫en1177冲击性能测试仪hs2005 介绍   

                      上海科学       上海仪器仪表研究所
                            上海浩顺科技有限公司 销售部
                             联系电话:   
                              传  真:  

                        公司网址:http://www.hisuntec.com

                  

1、游乐场安全地垫测试仪概述

国外,每年有成千上万儿童及成年人在运动场地、公共的或私人的运动设施上,由于跌倒在不合适的地面而受伤。据美国消费者产品安全委员会统计,美国每年过15万人在运动场地上受伤。澳大利亚每年也有1300名儿童因玩滑梯、秋千等游戏,从高处跌下受伤住。在标准制定前,虽然由此引起诉讼费达几百万美元,但是保险公司仍然拒绝承担多种与此有关险项的保险义务。因此,国外立法建立限制条例,如美国制定的ASTM F 1292-2004、欧洲制定的EN 1177:1997和澳大利亚制定的 AS/NZS4422:1999等对运动场地地面安全性能检测方法及设备的标准或规范,以评估运动场地地面铺垫的材料是否合格。

国内也有报道小孩荡秋千时,设施连钩突然脱钩,致小孩头部被摔成头骨粉碎性骨折的重伤。记者看到出事现场地面没有装保险垫,也无防缓冲作用的橡胶地板。事实上,有很多采用各种吸收冲击能量的弹性材料作为地面铺层,可以防止人们跌倒而损伤,特别是头部损伤。问题是弹性材料的特性和铺垫厚度都与安全有关,需要有相关的测试设备测定。

 

2、有关术语简介

运动场地地面(playground surface),被用于铺在运动场设施下面一种人工或天然的材料,包括地基、地层、和其他用于抗冲击的地面材料。

临界跌落高度(critical fall height,CFH),衡量运动场地地面材料的冲击衰减性能,由符合标准具体规定的冲击衰减性能指标的地面的高理论跌落高度来定义。临界跌落高度是接近但不希望会引起威胁生命的头部伤害的大高度。

头部伤害判据(head injury criterion,HIC),一个冲击加速度与时间关系的特殊积分,以测定头部受到伤害的相关性。

大加速度(g-max),当模拟头形落体与地面碰撞时大的冲击加速度,以重力加速度g为单位。

冲击衰减(impact attenuation),通过地面局部变形或位移来减少峰值冲击力和峰值加速度以吸收冲击过程中的能量的运动场地地面特性。

 

3、国外标准介绍的冲击测试方法及设备

国外已有不少制定了运动场地地面安全性能检测的冲击测试方法及设备的标准或规范,如美国制定的ASTM F 1292-2004、加拿大制定的CAN/CSA-03、欧洲制定的EN 1177:1997和澳大利亚制定的 AS/NZS4422:1999。根据欧洲标准化委员会(CEN)和欧洲电工标准化委员会(CENELEC) 联合成立的机构“共同的欧洲标准化组织”CEN/CENELEC国际规则,英国、德国、法国、丹麦、奥地利等成员国执行欧洲标准。如英国执行欧洲标准EN 1177:1997编号改为英国标准BS EN 1177:1998。下面简介典型的二个标准:

3.1  欧洲EN 1177:1997标准简介

欧洲标准化委员会(European Committee for Standardization, CEN)为防止人们在运动场地上活动跌倒受伤,特别是头部受伤,制定了相关的安全要求和试验方法EN 1177:1997《Impact absorbing playground surfacing – Safety Requirdivents and test methods》。

EN 1177:1997给出了测试运动场地地面材料特性时的冲击试验装置(见图1)及试验方法、典型的加速度gn与时间t的试验曲线(见图2)、典型的HIC与跌落高度H的试验曲线(见图3)及评估头部受冲击伤害程度HIC的计算公式,从而确定临界跌落高度(CFH)的小值。即,人们在运动场地上活动时跌落高度不大于CFH的小值,被认为满足标准的安全要求。


 

图1 游乐场安全地垫测试仪试验装置

在图1中,重4.6kg的模拟冲击头(headform)②装有加速度传感器(accelerometer)⑤,试验时需多次从不同高度跌落冲击被测样品①,每个高度对被测样品需进行多个不同位置的试验。加速度传感器的输出信号经电荷放大器③放大后,由计算机④进行数据采集、存储和处理,终确定该试验样品在满足EN 1177:1997规定HIC不大于1000的安全评估指标下的临界跌落高度(CFH)小值Hc,并给出试验报告。

 

 

图2 加速度gn与时间t的试验曲线

图2是典型的加速度gn与时间t的试验曲线,EN 1177:1997规定在数据采集过程中的采样频率小为8,000Hz。

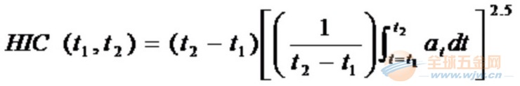
根据上述采集到的数据,EN 1177:1997给出了头部受冲击伤害判据HIC的计算公式:



 

式中:

  a——加速度,单位g

  t1,t2——冲击时间间隔,单位s

对每个试验位置,需计算出不同高度的HIC值,图3为典型的HIC与跌落高度H的试验曲线。根据曲线拟合求出HIC=1000时不同高度的临界跌落高度Hc值,并将该试验样品所有测试得到的多个Hc中取小的一个值作为临界跌落高度(CFH)值。

 

图3 HIC与跌落高度H的试验曲线


3.2  美国ASTM F 1292-2004标准简介

美国材料试验协会(American Society of Testing Materials)制定了ASTM F 1292-2004《Standard Specification for Impact Attenuation of Surfacing Materials Within the Use Zone of Playground Equipment》。1991年制定的ASTM F 1292在1996年被次修订,再到1999年的第二次修订版,直至现在新的2004版从标准题目和标准内容已修订三次,说明了美国对运动场地地面安全性能的重视,也说明了对在运动场上活动的人身安全的重视程度。

ASTM F 1292-2004制定了对于安装在运动设备周围的运动场地地面材料冲击衰减的低要求;制定了运动场地地面材料冲击衰减的性能标准,明确了跌落高度临界值(CFH);确定了运动场地地面材料在实验室条件下的跌落高度临界值程序;制定了已安装地面材料现场的测试规程;数据采集后的计算、记录有二个评价指标: HIC和g-max;还对试验样品尺寸、环境温度、测试时间等等作出了具体的规定。

其中,ASTM F 1292-2004第9.5.2条中制定了在测试运动场地地面材料特性时判定头部受冲击伤害的HIC计算公式:

 

在数据采集过程中ASTM F 1292-2004采样频率不低于20kHz。对测量也提出了准确度要求:加速度传感器电路g-max的测量准确度5%,HIC测量准确度10%。与EN 1177:1997标准的要求相比,ASTM F 1292-2004在4.2条中除规定HIC测得值不能大于1000外,还规定g-max测得值不能大于200g。即,在试验样品所有测试得到的多个HIC所对应的跌落高度Hc值中取小的一个,及在试验样品所有测试得到的多个g-max所对应的跌落高度Hc值中取小的一个,后取HIC和g-max所对应的跌落高度Hc值小的一个作为临界跌落高度(CFH)值。因此,ASTM F 1292-2004标准比EN 1177:1997标准相对严格。

 

4、国内引用的标准及冲击设备

国内已有不少厂商生产或销售三元乙丙橡胶(EPDM)的弹性安全地垫(Rubber Safety Cushion)。我们近参观了国际第九届地面材料展览会(上海)和第20届国际体育用品博览会(成都)并获得一些样品,了解到有些安全地垫生产厂的测量是按GB/T 14833-1993(塑胶跑道)标准检测的,也有厂商称其产品符合欧洲EN 1176标准,但是在介绍时都没有提及对头部受冲击伤害程度的HIC进行测量评估。EN 1176-1:1998《Playground equipment — Part 1:General safety requirdivents and test methods》至EN 1176-7的七个标准是针对运动场器材(如秋千、滑梯、木马等)的安全要求和试验方法,其中EN 1176-1:1998在4.2.8.4条中特地提到:跌落到儿童运动地面免受伤害的安全地垫性能试验要根据EN 1177,测试通用的冲击衰减材料以符合临界跌落高度(CFH)值。

我国还没有测量评估运动场地、儿童游乐场地HIC的要求,标准GB 19272-2003,《健身器材室外健身器材的安全通用要求》 第5.7.4条规定:“……天梯、秋千等上下运动弹跳或可能从空中运动跌落的器材,其运动地面应为松软或富有弹性的地面,例如:沙土层、橡塑地板等。若为橡塑地板时,其地板的结构厚度应不小于25mm;若为沙坑时,沙层厚度应不小于200mm,……” 。而且强调该标准第5章为强制性条款。

上海浩顺科技有限公司研发的HS2005 冲击强度测试仪(出口型号Uniaxe-II Impact Tester )(见图4),符合美国ASTM、澳大利亚AS、欧洲EN标准的要求,已推向国际市场,在欧洲和澳洲得到了应用。

 

图4 

  游乐场安全地垫en1177冲击性能测试仪hs2005

我们从EPDM安全地垫样品的弹性手感及采用HS2005冲击强度测试仪自行试验研究发现,国内外的产品对冲击衰减的特性有较大差异,测试记录数据见表1。

 

表1 安全地垫样品试验数据

                                 

注1:试验时,安全地垫铺垫在水泥地面或大理石地面上;

注2:该试验数据由澳大利亚Acousto-Scan公司提供。

  

 

                                                  图5 序号6样品g-max、HIC与跌落高度H的试验曲线

 

图5显示的是序号6样品三组试验数据的曲线,分别显示在g-max=200时对应的跌落高度和显示HIC=1000时对应的跌落高度 。根据ASTM F 1292-2004标准,取HIC和g-max所对应的跌落高度Hc值小的一个作为临界跌落高度(CFH)值,即CFH值为1.4m。

再分析表1的数据。可以看到弹性手感软的安全地垫比弹性手感硬的安全地垫有更好的冲击衰减性能。我们把试验数据与英国Wicksteed公司(www.wicksteed.co.uk)安全地垫产品的厚度与大自由跌落高度的关系图进行比较(图6),可以看到我们试验序号6和序号7国外产品的CFH数据与图6接近,即安全地垫厚50mm时的CFH=1.5m左右;而弹性手感较硬的国内产品CFH明显低于1.5m,甚至于CFH=1.1m,这样的安全地垫的防护性能能否满足设计要求就需要用测试设备来验证了,当然也可以加大安全地垫的厚度来满足CFH的要求,但是增加了工程成本。

 

图6  Wicksteed公司安全地垫厚度与大自由跌落高度的关系

 

5、结语

我们注意到国内运动场地、儿童游乐场地的安全不应该出了大量事故才重视起来,“以人为本”、“安全”不是口号,我国政府部门及社会各界现在都应引起重视,防患于未然,笔者建议:

a) 加强宣传运动场地有冲击衰减特性的安全要求,尽快制订国内标准的或对应(等效或非等效)于国外的有关标准,或补充GB19272-2003的内容;

b) 研究运动场地安全性能的检测技术,研发有自己知识产权的检测设备;

c) 在国内标准尚未颁布之前,是否可以参考国外标准(如EN 1177), 对安全地垫或其它冲击衰减材料(如沙滩,沙地)冲击衰减特性检测,以控制安全地垫生产质量、控制运动场地工程质量和验收、定期(如二年)对场地的安全性能复测。

 

 参考文献:

1) ASTM F 1292-2004《Standard Specification for Impact Attenuation of Surfacing Materials Within the Use Zone of Playground Equipment》

2) EN 1177:1997《Impact absorbing playground surfacing – Safety Requirdivents and test methods》

3) www.wicksteed.co.uk

4) 闫胜利,等,橡胶弹性铺面材料冲击性能试验研究,振动与冲击,Vol.20 No.2 2001

                                      

 

  游乐场安全地垫en1177冲击性能测试仪hs2005   产品咨询:董珉

 游乐场安全地垫en1177冲击性能测试仪hs2005,  游乐场安全地垫en1177冲击性能测试仪hs2005, 游乐场安全地垫en1177冲击性能测试仪hs2005

上一篇:樟树便捷式破碎仪 YY-100便...
下一篇:KHB3K-12LR球阀