由于在线校准采用的方法是标准表法,且标准表串联在被检大口径污水流量计的管道上,因此,影响校准结果的因素与标准表及换能器安装位置、安装方式和管道参数等因素有关。以我使用的双声道流量计为例,其原理是以超声波在流体内顺逆两个传播方向,利用传播时间差与流体流速之间的关系得到流体流量的,原理图见图1所示。

本次分析被测对象为i.o级的污水流量计,标准表为双声道超声流量计,测量管径为600mm,管内介质为净水,水温为常温。
2.1数学模型
△=Q-QS
式中, △为示值误差;Q为在时间内被检流量计测得的累计流量值; QS为在时间内标准流量计测得的实际累计流量值。
2.2不确定度来源分析
1)被校流量计测量重复性带来的不确定度分量,其中在线校准流体状况复杂,连接管道、阀门和流体不稳定等影响因素都包含在了重复性中。
2) 由标准表带来的不确定度分量:
a. 由标准表(超声流量计)自身测量不准确带来的不确定度分量。
b.管道内径测量引入的不确定度分量:从时3可以看出声道长度和管道内径有直接关系,因此管道内径测量不准确是影响流量精度测量的一个影响量。
c.标准表其他影响量的分析:超声波流量计安装换能器时,安装距离可由定距棒固定,因此,官能器安装位置的偏差对校准结果的影响可以忽略不计;换能器安装方式一般根据标准超声流量计对不同介质的选择是固定的,在此不考虑该影响量;液体介质中的声速与温度有关,关系式为υt=υ0+α(t+t0),其中:υt表示温度为t时的声速,t0为表格中指出的温度,υ0表示温度为t0时声速,α为温度系数。
由于本次分析的介质为常温水,温度对标准表的影响可以忽略。在测量热水管道时应考虑温度的影响。
综上所述,除被测表重复性和标准表自身带来的不确定度,其它影响量还有1个。数学模型可以表示为:

式中,δ1为管道内径测量不准对测量结果的影响。
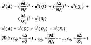
2.3方差和灵敏系数
根据误差传播定律,由式:(5)得

2.4各不确定度分量
以下不确定度分量重,测量重复性引入的不确定度采用A类评定,其余分量采用B类评定。
1) 现场选择一个流量点在尽可能的重复条件下测量6词,得到一个相对误差测量列,1.16%,1.44%,1.93%,2.35%,1.82%,2.54%用极差法得到

3)测量管道内径带来的不确定度
管道内径测量是通过测量外径和管道壁厚而得,由于现场校准条件一般都不理想,通常管道外径采用了II级钢卷尺测量管道周长得到,壁厚通过超声波测厚仪测量得到。n级钢卷尺使用中的***允许误差为:±(0.6+0.4t)mm(l为管道周长)=±1.4mm,所用超声波测厚仪的***误差为: ±0.02mm,相比钢卷尺可以忽略。那么测量管道内径误差为±1.4/π≈±0.5mm。
根据多次试验,内径测量误差为±0. 5mm时引起流量的影响量得到一个经验值,约为0.50%,按均匀分布考虑,则测量管道内径带来的不确定度为:

3.结语
在线校准是大口径污水流量计校准的发展方向,已越来越得到人们的重视。从应用情况来看,在线校准具有以下优点:
1.符合了仪表在使用中的计量管理要求;
2.校准时不断水,保证了生产和供应的连续性;
3.减少了工作量,省却了仪表送校拆装等大量费用。对保护珍贵的水资源、节约用水、保证水资源不流失以及维护和保障能源交易市场秩序有着极其重要的意义。但是,由于现场条件恶劣,环境复杂,影响因素较多,大口径流量计在线校准的测量不确定分析方法还需进一步研究,它的科学性和标准性有待提高。