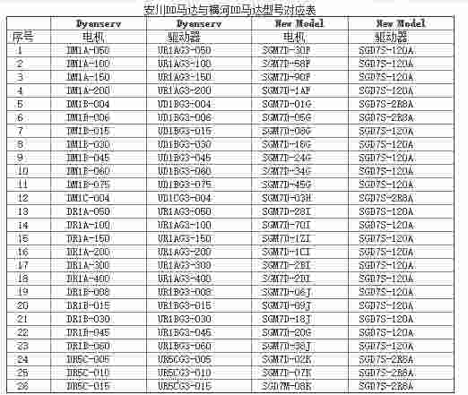
安川DD马达与横河DD马达新旧型号对应表

发布时间:2019-08-06

安川DD马达与横河DD马达新旧型号对应表

安川DD马达与横河DD马达新旧型号对应表

安川DD马达与横河DD马达新旧型号对应表

上一篇:欢迎:忻州绿化袋厂家(集...
下一篇:怀化市施耐德电气代理专卖店