M-200A参数:
1.试样尺寸:30mm×7mm×6mm
2.转动速度:0-200转/分(可定制10转/分-400转/分)
3.负 荷:20kg(196N)≤0.5%
4.摩擦环尺寸:¢40×10mm ,倒角0.5×45°,外圆表面与内圆同心度偏差小于0.01
5.摩擦环材质:45号钢,淬火,热处理HRC40-45,外圆表面光洁度▼8
6.摩擦力矩:0--4N·m
7.速度精度:≤1%
8.摩擦力矩精度:≤1%
9.传感器测量精度:≤1% FS
10.尺寸:400*500*350mm长宽高
M-200A塑料摩擦磨损试验机标准

GB3960-2016塑料摩擦磨损试验仪方法
1、范围:
本标准规定了塑料及其复合材料滑动摩擦磨损性能的试验方法。
本标准适用于测定塑料及其复合材料的滑动摩擦磨损性能。
2、规范性引用文件:
下列文件对于本文件的应用是必不可少的,凡是注日期的引用文件,仅注日期的版本适用于本文件,凡是不注日期的引用文件,其新版本(包括所有的修改单)适用于本文件。
GB/T 2918 塑料试样状态调节的试验的标准环境(ISO 201, IDT)
GB/T 1033.1-2008塑料 非泡沫塑料密度的测定 第1部分:浸渍法、液体比重甁法和滴定法(ISO 1183-1:2004,IDT)
GB/T 17754-2012 摩擦学术语
3、术语和定义:
GB/T 17754-2012 界定的以及下列术语和定义适用于本文件。为了便于使用,以下重复列出了 GB/T 17754-2012中的某些术语和定义。
3.1
滑动摩擦 sliding friction
两物体接触面之间产生滑动时的摩擦。
3.2
摩擦 friction
在力作用下物体相互接触表面之间发生的切向相对运动或有运动趋势时,出现阻碍该运动行为并且伴随着机械能量损耗的现象和过程。
[GB/T ]
3.3
摩擦副 rubbing pair;tribopair
专指由两个相对运动又相互作用摩擦学元素构成的*小的系统。
注:作为摩擦副的物体互称为摩副。
[GB/T 17754-2012,4.4]
3.4
摩擦力 friction force
相互接触的两物体当一个相对于另一个切向相对运动或有相对运动趋势时,在两者接触面上发生的阻碍该两物体相对运动的切向力。
3.5
摩擦力矩 friction moment
M
在转动摩擦副中,转动体在周向上受到的摩擦力与转动体有效半径的乘积。
GB/T 3960-2006
[GB/T 17754-2012,4.38]
3.6
摩痕宽度 scar width
b
在环-块摩擦磨损试验时,块的表面经摩擦磨损后再摩擦面上留下的损伤痕迹的断面——凹形圆弧的圆弧弦长,单位为毫米(mm)。
见图 1。
图1 磨痕宽度
3.7
磨损 wear
由于摩擦造成表面的变形、损伤或表层材料逐渐流失的现象和过程。
[GB /T ]
3.8
磨损量 wear loss
在磨损过程中摩擦副的材料接触表面变形或表层材料流失的量。
注1:通常可用体积、质量、几何尺度等表示。
[GB/T 17754-2012,5.1]
注2:本标准采用体积磨损、质量磨损、磨痕宽度来表示。
3.9
摩擦系数 friction coefficient
μ
一组摩擦副之间的摩擦力与法向力之比。
[GB/T 17754-2012,4.18]
3.10
润滑方式 methods of lubrication
向摩擦副的表面供给润滑介质的方式。
注:可分为间隙润滑、连续润滑、单程润滑、循环润滑等。
[GB/T 17754-2012,6.47]
3.11
润滑剂 lubricant
加入到两个相对运动表面之间,用于减少摩擦和控制磨损的易剪切物质。
[GB/T 17754-2012,6.48]
4、原理
将试样安装至试验机,试样安装于试验环上方,并加载负荷,试样保持静止,试验圆环以一定转速转动。见图2。
图2 试验示意图
5、设备
5.1 试验机
5.1.1 传动系统,用来带动圆环以给定的转速旋转,转速的相对误差应不大于±3% ,并要求圆环安装部位轴的径向跳动小于0.01mm。
5.1.2 加载系统,对试样和圆环,施加法向力,法向力的相对误差不大于±2% 。
5.1.3 测定和记录摩擦力矩系统,摩擦力矩的相对误差应不大于±3%
5.1.4 记录圆环转数的计数器或计时器,转数的相对误差应不大于±1% 。
5.1.5 试样夹具应保证试样安装后无轴向窜动。
5.2 天平和量具
5.2.1 称量试样质量的分析天平误差应大于0.1mg。
5.2.2 测量试样尺寸及磨痕宽度的量具误差应不大于0.02mm。
6、试验环及试样
6.1 试验环
试验环材料一般为45#钢,要求淬火,热处理HRC40~45,其外形尺寸:外径为(40±0.5)mm,内径为16mm,宽度10mm,外圆需倒角,倒角处均为0.5X45o,外圆表面与内圆同轴度偏差小于0.01mm:外圆表面粗糙度Ra不大于0.4,每次试验前需测试试验环外圆表面粗糙度并记录,确保外圆表面粗糙度Ra不大于0.4:试验环应清除油污,贮存于干燥钢内以防生锈。
注:圆环材质可根据需要另定。
6.2 试样
6.2.1 外观和尺寸
试样为长方体,要求表面平整,无气泡、裂纹、分层、明显杂质和加工损伤等缺陷。
具体尺寸及要求:
mm,试样上下表面平行度不小于0.02mm。
GB/T 3960-2016
6.2.2 数量
每组试样不少于3个。
6.2.3 状态调节
除受试标准另有规定,试样应按GB/T 2918的规定在室温(23±5)℃和相对湿度(50±5)% 的条件下调节16 h以上,或按有关各方协商的条件。
7、试验条件
7.1 试验中试样保持静止,试验环以200r/min转动,试验时间2 h,负荷196 N。根据材料,允许选择其他负荷。
7.2 试验可在无润滑条件(干摩擦)下进行。也可在有润滑条件下进行(润滑方式可采用滴油润滑、间隙润滑、连续润滑、单程润滑、循环润滑:润滑剂可采用46#抗摩液压油,也可采用客户的润滑剂)。
8、试验步骤
8.1 除非有关各方另有商定(例如:在高温或低温下试验),试验应与在状态调节相同条件下进行。
8.2 用乙醇、丙酮等不与试样起作用的溶剂仔细清除式样和圆环上的油污,此后不应再用手直接接触式样和试验环的表面。
8.3 用分析天平称取试样质量 (m1) ,并用此试样按GB/T1033.1-2008中A法的规定测试式样密度。
8.4 把试样装进夹具,使摩擦面与式样环的交线处于式样正中。装好摩擦力矩记录纸。
8.5 平稳地加荷至选定的负荷值。
8.6 开启试验机,对磨2 h后停机卸负荷,取下试样和试验环,用溶剂清理试样表面,待试样冷却至试验环境温度时,用量具测量磨痕宽度,或称取试样质量m2 。磨痕宽度测量应在磨痕中央及距磨痕两端1mm处测量3个数值,测量值之间不得大于1mm,取3次测量平均值作为一个试验数据。
8.7 读取摩擦力矩值M。
9、结果计算和表示
9.1 磨痕宽度
磨痕宽度取试验数据的算术平均值。
注:本标准建议以磨痕宽度来表征磨损量。
9.2 质量磨损
质量磨损按式(1)计算:

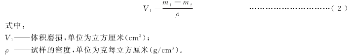
9.3 体积磨损
体积磨损按式(2)计算:
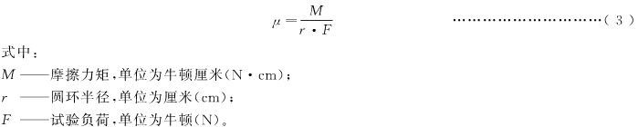
9.4 摩擦系数
摩擦系数 μ按式(3)计算:
9.5 有效数字
磨痕宽度、体积磨损、质量磨损保留3位有效数字,摩擦系数保留2位有效数字。
10、塑料摩擦磨损试验仪试验报告
试验报告包括下列内容:
a) 注明采用本标准:
b) 鉴别受试材料所需的全部资料,包括类型、来源、制造商代码、等级和历史:
c) 试样制备方法:
d) 试样数量:
e) 状态条件和试验的标准环境,若材料和产品标准有规定,应加长任何特殊的处理条件:
f) 试验环的材质、硬度、表面粗糙度和外形尺寸:
g) 润滑方式及润滑剂的名称:
h) 试验负荷、试验环的转速、试验时间:
i) 试验结果:
j) 试验日期、人员。