仅供科研实验,不做其他用途!
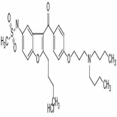
产品名称:Dronedarone hydrochloride标准品
CAS No.: 141625-93-6
中文名: 盐酸决奈达隆
别名:
分子式: C31H45ClN2O5S
性状: Powder
纯度: 98.0%
特色服务: 随货提供1H-NMR等报告
关键词:
订购须知:
1.优势:高效稳定的纯化技术,完善的库存及供应体系,高效的销售团队。
2.包装规格:常规包装,如有特殊需求,我们根据客户要求包装。
3.运输方式:默认顺丰快递。
4.质量保证:严格的质量控制,通过全面的检测,是产品质量保证的基础。如有异议经我司确认可无条件退换货。
关于标准品:
一)选择问题
标准品的选择原则包括物质稳定性以及参比物质和测定物质的同质性。
其次,在标准品选择时应该充分关注不同盐基、酸根的不同用途。
二)来源渠道多
其来源渠道一般包括:自制标准品;原料药厂家精制提供;国外购进;直接在原料药基础上提高质量要求后进行对照。我司提供的标准品渠道正规,符合相关标准,请客户放心购买。
关于标准品、对照品的问题:
(一)来源:
依照有关规定,用于药品成品检验的标准品(对照品)来源有:一是药品生物制品所提供的标准品(对照品);二是其他的标准品(对照品);三是省级以上药品检验所,并经同级食 品药品监管局批准的标准品(对照品)。
(二)开封问题:
对已开封的标准品(对照品)管理方面的问题应做严格的规定,不应同未开封的标准品(对照品)放在一起继续使用,包装上应做好相关标识,说明是否已开封过、何时开封的,内含量等相关信息。
(三)验证问题:
按标准品(对照品)管理要求,使用前应对其进行验证,确认无误后方可使用。
(四)使用过程:
工作标准品(对照品)虽经有关部门认可,但要求有标化日期、复标日期、贮存条件、使用等相关文件规定,并做好相应记录。
(五)有效期和使用说明书:
药品生物制品所提供的标准品(对照品)大部分均无使用说明书和使用期限,大都沿用新的批号出现、旧的批号自动停止的管理方式。
下列是公司正在热销的产品:
人纤维蛋白原单克隆抗体红酵母属P53凋亡激蛋白2
FANCD2抗体热带假丝酵母凋亡抑制因子5抗体流式免疫组化
磷酸化FANCD2抗体壁芽孢杆菌雌激素受体α/β抗体流式免疫组化
外基质蛋白FREM2抗体犬种布鲁氏菌人类疱疹病4抗体流式免疫组化
面肩肱型肌营养不良症相关蛋白FRG1抗体油菜菌核病菌白介素-23抗体流式免疫组化
CD350抗体豌豆根瘤菌阳离子转运器1抗体流式免疫组化
CD344抗体花楸近藤氏酵母肿瘤坏死因子相关凋亡诱导配体/凋亡素2配体抗体流式免疫组化
卷曲蛋白6抗体大肠埃希氏杆菌DL-半胱氨酸
卷曲蛋白8抗体三线镰刀菌L-谷氨酸单钠盐
FSD1蛋白抗体北京掷孢酵母心肌黄酶
卷曲螺旋结构域蛋白10抗体ATCC 700425牛血纤维蛋白原
Prader-Willi综合征相关蛋白抗体哈茨木霉哌拉西林
AKT相互作用蛋白蛋白抗体酿酒酵母甲硝唑
DNA解旋酶V抗体发光假蜜环菌嘌呤
远端上游元件结合蛋白3抗体豇豆慢生根瘤菌氨基蝶呤
大丽花轮枝孢(棉花黄萎病菌)莫能菌酸钠柠檬酸二氢
固紫酱GBC盐特戊酸氯甲酯
玫瑰紫青霉人成骨生长肽(OGP)ELISA试剂盒, OGP ELISA特戊酸氯甲酯
Chitinophaga rupis人磷脂爬行酶1(PLSCR1)ELISA试剂盒,PLSCR1 ELISA特戊酸氯甲酯
棕黑腐质霉人末端补体复合物C5b-9(TCC C5b-9)ELISA试剂盒,吲哚-2-甲
黑根霉大鼠骨钙素/骨谷氨酸蛋白(OT/BGP)ELISA试剂盒,吲哚-2-甲
聚生壳菌猪活化
Dronedarone hydrochloride标准品平脐蠕孢菌叔丁基苯乙肟碳酸酯5-溴-2-糖
